 |
|
Vorheriges Thema anzeigen :: Nächstes Thema anzeigen |
Autor |
Nachricht |
Zedandi
Anmeldedatum: 02.11.2016 Beiträge: 1486
|
Verfasst am: 09.07.2018, 12:05 Titel: Re: Abgeltungssteuer GroKo 2018? |
|
|
JLukat hat Folgendes geschrieben: |
@Zedandi
Kursgewinne hat man erst nach einem Verkauf und kann diese dann wieder verzinslich investieren. Wie man vor der Gewinnrealisierung einen Zinseszinseffekt erreicht, ist mir nicht ersichtlich. |
Aus verschiedenen wissenschaftlichen Studien zur Renditeentwicklung am Aktienmarkt (bzw. weltweit an verschiedenen Aktienmärkten) weiß man, dass die Aufteilung der Rendite zwischen Ausschüttungen & Kursgewinnen langfristig beim breiten Markt ca. 1/3 zu 2/3 ist. Die Kursgewinne folgen langfristig der Gewinnentwicklung und die fällt ja nicht einfach vom Himmel sondern resultiert aus den ständigen Investitionen ins laufende Geschäft (Teil des Gewinns, der nicht ausgeschüttet wird). Man rechnet ja langfristig grob mit 8-10% p.a. (vor Inflation, danach dann die bekannteren 7-8%), davon dann 2-3% Dividenden und 5-8% Kursgewinne. Da die Kursgewinne immer erst bei der Realisierung versteuert werden (mal die Änderung bei ETFs außen vor gelassen), ergibt sich somit ein Zinseszinseffekt für langfristig orientierte Buy&Hold-Anleger. Wer bei Einzelaktien andauernd Gewinne realisiert und umschichtet hat natürlich weder den Zinseszins noch die 1/3 zu 2/3 Aufteilung, sondern halt die nicht-prognostizierbare kurzfristige Entwicklung die dann wohl durch die Kursentwicklung dominiert wird.
Die ganze Betrachtung gilt natürlich nur langfristig aber dafür war sie in der Vergangenheit recht stabil. Und ja, mit statistischen Betrachtungen ist es so eine Sache, kann für den Einzelfall natürlich komplett anders aussehen, ob heutige Anleger auch die historische Durchschnittsrendite einfahren werden kann noch niemand sagen. Aber wenn man nicht daran glaubt, dass das Investment in Aktien langfristig eine gute Wahl ist, stellt sie die Steuer-/Umschichtfrage ja erst gar nicht... |
|
Nach oben |
|
 |
stefans
Anmeldedatum: 27.05.2016 Beiträge: 1597
|
Verfasst am: 30.09.2018, 21:59 Titel: Re: Abgeltungssteuer GroKo 2018? |
|
|
Die FDP hat fragen zur Abschaffung der Abgeltungssteuer auf Zinseinkünfte gestellt.
Die GroKo hat geantwortet, nahezu 0 aussagekraft, also richtig mies von den herrn politikern die eigentlich gewählt werden wollen.
https://dipbt.bundestag.de/extrakt/ba/WP19/2390/239089.html |
|
Nach oben |
|
 |
Skippy

Anmeldedatum: 26.11.2016 Beiträge: 856 Wohnort: Sol-System, 3. Planet Terra
|
Verfasst am: 30.09.2018, 23:03 Titel: Re: Abgeltungssteuer GroKo 2018? |
|
|
stefans hat Folgendes geschrieben: | Die FDP hat fragen zur Abschaffung der Abgeltungssteuer auf Zinseinkünfte gestellt.
Die GroKo hat geantwortet, nahezu 0 aussagekraft, also richtig mies von den herrn politikern die eigentlich gewählt werden wollen.
https://dipbt.bundestag.de/extrakt/ba/WP19/2390/239089.html |
Nun ja - eine Änderung bezüglich der Abgeltungssteuer erfolgt erst nach der Einführung des automatischen internationalen Informationsaustausches der Finanzkonten.
Wenn ja: Wie weit ist denn dieses Unterfangen bereits realisiert.
Wenn nein: Wie lange wird es dauern bis dieses Unterfangen realisiert wird? _________________ Investiert in Buyback bei Mintos*, Iuvo*, Viventor*, Grupeer*. |
|
Nach oben |
|
 |
Werbeunterbrechung / Werbung
|
Verfasst am: 30.09.2018, 23:03 Titel: |
|
|
|
|
Nach oben |
|
 |
Bandit55555
Anmeldedatum: 30.07.2011 Beiträge: 2558 Wohnort: BW
|
Verfasst am: 01.10.2018, 12:09 Titel: Re: Abgeltungssteuer GroKo 2018? |
|
|
Skippy hat Folgendes geschrieben: |
Nun ja - eine Änderung bezüglich der Abgeltungssteuer erfolgt erst nach der Einführung des automatischen internationalen Informationsaustausches der Finanzkonten.
Wenn ja: Wie weit ist denn dieses Unterfangen bereits realisiert.
Wenn nein: Wie lange wird es dauern bis dieses Unterfangen realisiert wird? |
Die Einführung des automatischen ineternationalen Informationsaustausches der Finanzkonten hat am 30.09.2017 mit 49 Staaten und Gebieten begonnen.
Seit gestern, dem 30.09.2018 sind es 102 Staaten. Diese Daten werden aber noch nicht an deutsche Finanzämter weitergeleitet.
Es wird erwartet das das frühestens im Frühjahr 2019 der Fall sein wird.
Wenn der Beschluss feststeht ist mit einer Vorlaufzeit von ca. 1,5 Jahren zu rechnen, sodass ich frühestens auf 2021 komme. _________________ Meine Rendite: Erhaltene Zinsen:
Finbee: 153.000€,
Omaraha: 118.000€ |
|
Nach oben |
|
 |
Oktaeder P2P Legende

Anmeldedatum: 13.07.2010 Beiträge: 10791 Wohnort: Bei Karlsruhe
|
Verfasst am: 01.10.2018, 12:38 Titel: Re: Abgeltungssteuer GroKo 2018? |
|
|
Werden die Anleger ein Kontrollblatt bekommen? Weil zB das was Bondora* da so zusammenrechnet ist ja weit entfernt von dem was stimmt. _________________ Mein Blog rund um p2p Kredite
Bondora/XIRR ca. 12%/ Investiere per API.
Stand 9/2023
Weitere Anlagen bei Swaper*,peerberry,afranga,lendermarket und estateguru |
|
Nach oben |
|
 |
Twintos
Anmeldedatum: 06.03.2017 Beiträge: 902
|
Verfasst am: 01.10.2018, 22:19 Titel: Re: Abgeltungssteuer GroKo 2018? |
|
|
Ein P2P Konto ist aber kein Bankkonto. |
|
Nach oben |
|
 |
Bandit55555
Anmeldedatum: 30.07.2011 Beiträge: 2558 Wohnort: BW
|
Verfasst am: 02.10.2018, 12:02 Titel: Re: Abgeltungssteuer GroKo 2018? |
|
|
Oktaeder hat Folgendes geschrieben: | Werden die Anleger ein Kontrollblatt bekommen? Weil zB das was Bondora* da so zusammenrechnet ist ja weit entfernt von dem was stimmt. |
Nein. Diese Daten werden zur deutschen Behörde übermittelt:
Name
Adresse
Steuernummer
Geburtsdatum
Geburtsort
Kontoinhaber
Kontonummer (Wenn keine Kontonummer vorhanden (wie bei P2P Plattformen) dann funktionale Entsprechung)
Kontostand
Kontosalden
Wenn es da kleine Unterschiede (ein paar Prozent) bei der Höhe der Zinsen gibt, glaube ich nicht das da nachgeforscht wird. Anders sieht es aus wenn gar keine Zinsen deklariert wurden, oder bei sehr hohen Beträgen. Da lohnt es sich für das deutsche Finanzamt doch mal drüber zu schauen.
Twintos hat Folgendes geschrieben: | Ein P2P Konto ist aber kein Bankkonto. |
Richtig. Aber es betrifft auch Finanzkonten von Investmentunternehmen. Und dazu zähle ich die P2P Plattformen.
Es gibt nur wenige Ausnahmen: Ausgenommen sind nur staatliche Rechtsträger, Altervorsorgefonds, Kreditkartenanbieter, und sonstige Rechtsträger bei dem ein geringes Risiko besteht das es zur Steuerhinterziehung missbraucht wird.
Ich dachte zuerst auch das nur Bankkonten betroffen sind. Es betrifft aber auch Finanzkonten.
Fazit: Ab nächstes Jahr werden alle P2P Plattformen die ausgezahlten Zinsen und den Kontowert an das zuständige deutsche Finanzamt übermitteln. _________________ Meine Rendite: Erhaltene Zinsen:
Finbee: 153.000€,
Omaraha: 118.000€ |
|
Nach oben |
|
 |
Skippy

Anmeldedatum: 26.11.2016 Beiträge: 856 Wohnort: Sol-System, 3. Planet Terra
|
Verfasst am: 02.10.2018, 12:42 Titel: Re: Abgeltungssteuer GroKo 2018? |
|
|
Bandit55555 hat Folgendes geschrieben: |
Fazit: Ab nächstes Jahr werden alle P2P Plattformen die ausgezahlten Zinsen und den Kontowert an das zuständige deutsche Finanzamt übermitteln. |
Ich glaube, George Orwells "1984" habe ich noch im analogen Bücherregal. Muß ich mir mal wieder reinziehen.
Danke Bandit für die Infos. _________________ Investiert in Buyback bei Mintos*, Iuvo*, Viventor*, Grupeer*. |
|
Nach oben |
|
 |
Fego
Anmeldedatum: 24.09.2018 Beiträge: 117
|
Verfasst am: 02.10.2018, 13:17 Titel: Re: Abgeltungssteuer GroKo 2018? |
|
|
Aber müssten die Plattformen dafür nicht unsere Steuer* ID haben? Eine reine Information mit dem vollständigen Namen dürfte dem Finanzamt ja eigentlich nicht reichen um das entsprechend zuzuordnen. |
|
Nach oben |
|
 |
Mrtn17

Anmeldedatum: 18.04.2017 Beiträge: 1405
|
Verfasst am: 02.10.2018, 13:24 Titel: Re: Abgeltungssteuer GroKo 2018? |
|
|
Hm, also ich habe verstanden die ganze Diskussion dreht sich um die Absicht im Koalitionsvertrag
Zitat: | Die Abgeltungsteuer auf Zinserträge wird mit der Etablierung des automatischen Informationsaustausches abgeschafft; Umgehungstatbestände werden wir verhindern. |
wobei das bisher noch nicht verbindlich beschlossen wurde.
Allerdings habe ich hier im Thread keine Infos/Quellen zum genannten Informationsaustausch gesehen; vielleicht habe ich es auch übersehen.
Bandit55555 hat Folgendes geschrieben: | Fazit: Ab nächstes Jahr werden alle P2P Plattformen die ausgezahlten Zinsen und den Kontowert an das zuständige deutsche Finanzamt übermitteln. |
Ist das so? Gerade bei kleineren baltischen Plattformen kann ich mir das schwer vorstellen. |
|
Nach oben |
|
 |
Bandit55555
Anmeldedatum: 30.07.2011 Beiträge: 2558 Wohnort: BW
|
Verfasst am: 02.10.2018, 21:42 Titel: Re: Abgeltungssteuer GroKo 2018? |
|
|
Glühbirne hat Folgendes geschrieben: | Hm, also ich habe verstanden die ganze Diskussion dreht sich um die Absicht im Koalitionsvertrag
Zitat: | Die Abgeltungsteuer auf Zinserträge wird mit der Etablierung des automatischen Informationsaustausches abgeschafft; Umgehungstatbestände werden wir verhindern. |
wobei das bisher noch nicht verbindlich beschlossen wurde. |
Richtig. Die Abschaffung der Abgeltungssteuer wurde noch nicht beschlossen. Der automatische Austausch von Finanzinformationen wurde schon 2014 beschlossen und wird gerade eingeführt.
Diese 2 Dinge sind eng miteinander verbunden, denn die Abgeltungssteuer wurde nur damals nur eingeführt weil 25% von X besser ist als 45% von NIX.
Da es in Zukunft kaum möglich sein soll Steuerhinterziehung zu begehen, da (fast) alle Finanzkonten meldepflichtig werden, kann man die Abgeltungssteuer wieder abschaffen. Ich rechne damit, aber es wird noch eine Zeit brauchen bis der Informationsaustausch reibungslos funktioniert. Und erst dann kann man die Abschaffung der Abgeltungssteuer beschliessen.
Glühbirne hat Folgendes geschrieben: | Allerdings habe ich hier im Thread keine Infos/Quellen zum genannten Informationsaustausch gesehen; vielleicht habe ich es auch übersehen. |
Quelle: OECD Standard Für den automatischen Austausch von Finanzinformationen in Steuersachen - Praktisches Handbuch (PDF - 134 Seiten)
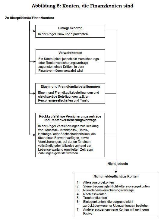
Die entscheidende Frage ist welche Konten meldepflichtig sind. Und laut dieser Grafik kann ich nur zu dem Entschluss kommen das ein Konto bei einer P2P Plattform ein meldepflichtiges Finanzkonto ist:
Quelle: PDF Seite 47/134
Quelle: OECD Standard Für den automatischen Austausch von Finanzinformationen in Steuersachen - Praktisches Handbuch (PDF - 134 Seiten)
Zitat: | Jede natürliche Person, die ein Konto eröffnet, muss eine Selbstauskunft vorlegen, aus der ihre steuerliche Ansässigkeit hervorgeht. Geht aus der Selbstauskunft hervor, dass der Kontoinhaber in einem meldepflichtigen Staat steuerlich ansässig ist, so muss das meldende Finanzinstitut das Konto als meldepflichtiges Konto betrachten |
Quelle: OECD Standard Für den automatischen Austausch von Finanzinformationen in Steuersachen - Praktisches Handbuch (PDF - 134 Seiten)
Fego hat Folgendes geschrieben: | Aber müssten die Plattformen dafür nicht unsere Steuer* ID haben? Eine reine Information mit dem vollständigen Namen dürfte dem Finanzamt ja eigentlich nicht reichen um das entsprechend zuzuordnen. |
Es gibt eine Ausnahme bei bestehenden Konten und der Steueridentifikationsnummer:
Zitat: | Für bestehende Konten muss die Steueridentifikationsnummer nicht gemeldet werden, wenn
i) sie nicht in den Unterlagen des meldenden Finanzinstituts enthalten ist und
ii) nicht nach innerstaatlichem Recht von dem meldenden Finanzinstitut erfasst werden muss (vorbehaltlich angemessener Anstrengungen zur Beschaffung der Informationen) Quelle: PDF Seite 78/134 |
_________________ Meine Rendite: Erhaltene Zinsen:
Finbee: 153.000€,
Omaraha: 118.000€ |
|
Nach oben |
|
 |
Mrtn17

Anmeldedatum: 18.04.2017 Beiträge: 1405
|
Verfasst am: 03.10.2018, 18:31 Titel: Re: Abgeltungssteuer GroKo 2018? |
|
|
Bandit, danke für die Infos!
Wenn ich das richtig sehe, ist das auch unter der Bezeichnung Common Reporting Standard (CRS) bekannt.
Hat eigentlich mal irgendjemand die Plattformen gefragt, ob sie nach CRS reporten? |
|
Nach oben |
|
 |
Twintos
Anmeldedatum: 06.03.2017 Beiträge: 902
|
Verfasst am: 14.10.2018, 15:14 Titel: Re: Abgeltungssteuer GroKo 2018? |
|
|
Glühbirne hat Folgendes geschrieben: | Bandit, danke für die Infos!
Wenn ich das richtig sehe, ist das auch unter der Bezeichnung Common Reporting Standard (CRS) bekannt.
Hat eigentlich mal irgendjemand die Plattformen gefragt, ob sie nach CRS reporten? |
Es gibt eine Plattform die wollte noch nicht mal meinen Personalausweis sehen. |
|
Nach oben |
|
 |
TTom
Anmeldedatum: 09.10.2011 Beiträge: 1522
|
Verfasst am: 22.10.2018, 11:09 Titel: Re: Abgeltungssteuer GroKo 2018? |
|
|
Glühbirne hat Folgendes geschrieben: | Bandit, danke für die Infos!
Wenn ich das richtig sehe, ist das auch unter der Bezeichnung Common Reporting Standard (CRS) bekannt.
Hat eigentlich mal irgendjemand die Plattformen gefragt, ob sie nach CRS reporten? |
Antwort vom Mintos* Support zu dem Thema:
Zitat: |
Hallo Herr xxx
vielen Dank für Ihre Anfrage.
Derzeit ist Mintos* nicht als "Finanzinstitut" bezeichnet und daher ist ein Mintos-Account kein meldepflichtiges Finanzkonto.
Mit freundlichen Grüßen,
xxx
|
_________________ Aktive P2P-Investments:
Bondora, Mintos
Auslaufend/Historisch: Estateguru*, Reinvest24*, Bondster*, Investly*, Funding Circle*, Auxmoney*, Lendermarket |
|
Nach oben |
|
 |
Mrtn17

Anmeldedatum: 18.04.2017 Beiträge: 1405
|
Verfasst am: 22.10.2018, 11:35 Titel: Re: Abgeltungssteuer GroKo 2018? |
|
|
Antwort vom Viainvest* Support Zitat: | Yes. We do provide information about taxation within our platform, to the corresponding loan originator countries tax administrations. |
|
|
Nach oben |
|
 |
|
|
Du kannst keine Beiträge in dieses Forum schreiben. Du kannst auf Beiträge in diesem Forum nicht antworten. Du kannst deine Beiträge in diesem Forum nicht bearbeiten. Du kannst deine Beiträge in diesem Forum nicht löschen. Du kannst an Umfragen in diesem Forum nicht mitmachen.
|
phpBB SEO URLs V2
*Anzeige / Affiliate Link
Powered by phpBB © 2001, 2005 phpBB Group Deutsche Übersetzung von phpBB.de
 Vereitelte Spamregistrierungen: 205159
Impressum & Datenschutz
|